
新闻中心
NEWS

微滴式数字PCR(ddPCR®)以其优异的灵敏度,准确性和重复性受到全球科研人员喜爱。ddPCR®经典重温系列,正是带您重访那些奠定技术基石的里程碑研究——2011年发表在《Analytical Chemistry》杂志的文章,不仅详细介绍了ddPCR®技术的原理,工作流程,还将这项当时突破性的技术进行了应用拓展。通过三个实验案例CNV,稀有突变和绝对定量实验凸显了ddPCR®技术超高的分辨率和灵敏度。

研究通过ddPCR®技术对7例HapMap样本的3个目标基因(MRGPRX1、CYP2D6及X染色体)进行拷贝数变异(CNV)分析。实验采用双探针体系(目标基因FAM标记/参考基因RPP30 VIC标记),实现单孔同步检测与内标校准。结果显示:
1.MRGPRX1基因:单孔检测即可精准区分1~6拷贝的连续变异状态(图a),突破传统qPCR对多拷贝基因的分辨极限;
2.CYP2D6与X染色体:低拷贝数(1-3)变异亦呈现清晰聚类,证实技术对基因组微缺失/微重复的检测效能;
3.CCL3L1基因(HIV易感关联):在13例HapMap样本中,ddPCR®技术测得NA18507样本拷贝数为6.05,而NGS仅报告5.7(图b)。值得注意的是,NGS因全基因组分散覆盖导致靶基因区域平均测序深度仅30×,而ddPCR®技术通过靶向富集策略,单孔即可实现双基因20,000×检测通量——这一数量级差异解释了二者在分辨率上的显著差距。
这一案例凸显了ddPCR®技术在靶向高精度定量中的独特优势:其通过超高通量分区(单孔20,000微滴)与统计学模型,将检测灵敏度提升至单个分子水平,为复杂CNV的临床研究提供了可扩展的技术平台。

通过微滴式数字PCR(ddPCR®方法)确定拷贝数变异状态。(a)在HapMap样本中对MRGPRX1、X染色体、CYP2D6和(b)CCL3L1基因的拷贝数变异状态进行测量。(c)在正常和肿瘤乳腺组织中提取的DNA中,GRB7和ERBB2基因拷贝数变化的相关性。每个标记代表来自单个ddPCR®孔(约20,000个微滴)的拷贝数变异(CNV)测量结果。误差条表示每个拷贝数测定的泊松95%置信区间。
实验二:稀有突变检测
通过体系优化,实时定量PCR(qPCR)对突变等位基因的检测下限可达1%。而基于相同TaqMan探针体系,微滴数字PCR(ddPCR®技术)通过物理分区策略实现了技术性能的跃升:其将目标突变DNA从高达10^5倍的同源野生型背景中分离,使突变/野生型有效富集倍数提升2万倍。
理论模型表明,突变分子的富集效率与反应体系的分区数呈正相关——单个样本的2万微滴分区使每个反应单元的竞争性扩增干扰降至可忽略水平。
以BRAF V600E突变为例,双探针TaqMan检测验证了该技术的超敏特性:在野生型DNA绝对优势(突变频率0.001%)的极端条件下,ddPCR®技术仍能稳定检出突变信号,灵敏度较qPCR提升三个数量级。
值得注意的是,该技术可通过增加样本投入量(经限制性酶切预处理降低粘度)进一步突破检测极限,为临床痕量样本(如循环肿瘤DNA、胎儿游离DNA)分析提供解决方案。
此项突破性进展标志着分子诊断进入"万分之一"灵敏度时代:研究者得以在单碱基分辨率下解析<0.01%的稀有突变,为微小残留病(MRD)监控、无创产前诊断(NIPT)及肿瘤早筛等场景开辟精准量化新途径。

通过ddPCR®系统检测在同源野生型DNA背景下BRAF V600E稀有突变等位基因。将突变细胞系DNA进行系列稀释,置于恒定的野生型人类基因组DNA背景中。微滴分区减少了竞争性扩增效应,使得检测限可低至0.001%的突变比例,比实时定量PCR(qPCR)提高了1000倍。该突变细胞系中BRAF V600E的含量为35%,由ddPCR®技术测量得出。
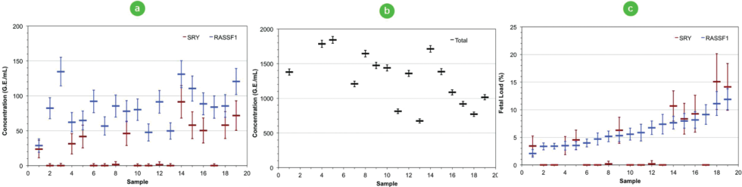
实验三:cfDNA的绝对定量
通过ddPCR®技术对19例孕10-20周孕妇血浆中的胎儿游离DNA进行绝对定量。针对cfDNA片段化、低丰度的特性,采用双策略检测体系:基于SRY基因标记男性胎儿DNA,同时利用甲基化酶切(HhaI/HpaII)选择性保留胎儿高甲基化RASSF1基因,结合管家基因(β-actin)实现总DNA定量。
结果显示,胎儿DNA占比(胎儿负荷)为2.1%-11.9%,其中男性样本的甲基化RASSF1与SRY定量结果高度相关(R²=0.937),验证了女性胎儿检测的可靠性。相较于NGS技术(全基因组平均深度30×),微滴式数字PCR通过单孔2万次检测事件实现靶向超高灵敏度,在CCL3L1基因拷贝数分析中分辨率优于NGS(6.05 vs. 5.7拷贝)。该技术突破性别依赖限制,为无创产前诊断提供普适性解决方案,并推动液体活检向更早孕周及肿瘤早筛领域拓展。

对男性和女性胎儿的无细胞血浆中循环胎儿和母体DNA的绝对定量。
(a) 使用SRY(红色条)和高甲基化RASSF1(蓝色条)定量胎儿DNA浓度。胎儿DNA的RASSF1基因高甲基化,而母体DNA低甲基化。通过甲基化敏感限制酶选择性消化低甲基化部分,保留高甲基化的胎儿DNA用于定量。
(b) 总DNA浓度(黑色条)为六次独立检测的加权平均值,包括未消化的RASSF1、β-肌动蛋白、RNaseP和TERT。
(c) 胎儿负荷通过SRY/总DNA(仅男性胎儿)和RASSF1/总DNA(男性和女性胎儿)比值计算。男性胎儿中,SRY与RASSF1胎儿负荷的相关系数为97.3%。由于胎儿DNA并非完全高甲基化,部分样本的RASSF1胎儿负荷低于SRY测定值。
ddPCR®技术还有更大的威力,更广的应用,如何利用微滴式数字PCR的特性挖掘出更多的场景,我们共同努力。
* BIO-RAD 是 BIO-RAD LABORATORIES, INC. 在特定区域的商标。 * 本产品仅用于科研用途,不用于临床诊断。
电话:021-61283010
网址:www.bio-chain.com
邮箱:marketing@bio-chain.com
地址:上海市徐汇区虹漕路421号65幢303室
上海柏辰生物科技有限公司 版权所有 严禁复制 网站备案号:沪ICP备09099502号-1 沪公网安备 31010402002899号 网站建设:铭心科技